Caída libre de un objeto que pasa por dos ventanas en dos segundos (7611)

, por F_y_Q

Hay dos ventanas separadas por 15 m, en la primera se ve caer un objeto, y dos segundos después se ve en la otra. La distancia entre la primera ventana al suelo es 80 m. ¿Desde dónde tiraron el objeto? ¿A qué velocidad tocó el suelo?

P.-S.

Para resolver el problema debes suponer que el objeto se deja caer desde un punto por encima de la primera ventana, es decir, sigue un movimiento de caída libre.

Si tienes en cuenta el tiempo que tarda el objeto en recorrer los 15 m que hay entre las dos ventanas, puedes calcular la velocidad con la que pasa por la primera ventana:

\Delta h = v_1\cdot \Delta t + \frac{g}{2}\cdot \Delta t^2\ \to\ \color[RGB]{2,112,20}{\bm{v_1 = \frac{\Delta h - \frac{g}{2}\cdot t^2}{t}}}

Sustituyes los datos y calculas la velocidad en la primera ventana:

v_1 = \frac{-15\ m - 4.9\ \frac{m}{\cancel{s^2}}\cdot 4\ \cancel{s^2}}{2\ s} = \color[RGB]{0,112,192}{\bm{-17.3\ \frac{m}{s}}}

La velocidad es negativa porque es descendente y estoy considerando que la altura inicial es positiva.

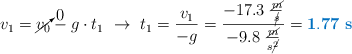
Como la velocidad inicial en el punto de lanzamiento es nula, puedes calcular el tiempo que ha tardado el objeto en llegar a la primera ventana desde que se soltó:

v_1 = \cancelto{0}{v_0} - g\cdot t_1\ \to\ t_1 = \frac{v_1}{-g} = \frac{-17.3\ \frac{\cancel{m}}{\cancel{s}}}{-9.8\ \frac{\cancel{m}}{s\cancel{^2}}} = \color[RGB]{0,112,192}{\bf 1.77\ s}

Ahora puedes calcular qué distancia ha recorrido el objeto hasta llegar a la primera ventana:

h_1 = h_0 - \cancelto{0}{v_0}\cdot t_1 - \frac{g}{2}\cdot t_1^2\ \to\ h_0 = 80\ m + 4.9\ \frac{m}{\cancel{s^2}}\cdot 1.77^2\ \cancel{s^2}\ \to\ \fbox{\color[RGB]{192,0,0}{\bm{h_0 = 88.7\ m}}}


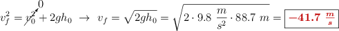
La velocidad final la obtienes usando la ecuación que relaciona la velocidad con la altura inicial. En este caso vas a resolver una ecuación de segundo grado y obtendrás dos soluciones, una positiva y otra negativa. Como es hacia abajo, debes tomar como válida la solución negativa. Despejas y calculas:

v_f^2 = \cancelto{0}{v_0^2} + 2gh_0\ \to\ v_f = \sqrt{2gh_0} = \sqrt{2\cdot 9.8\ \frac{m}{s^2}\cdot 88.7\ m} = \fbox{\color[RGB]{192,0,0}{\bm{-41.7\ \frac{m}{s}}}}