Balanceo de reacción química y estequiometría 0001

, por F_y_Q

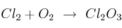
Dada la siguiente reacción: Cl_2 + O_2\ \to\ Cl_2O_3:

a) Ajusta la ecuación.

b) Calcula el volumen (en condiciones normales) de oxígeno que se combina con 3 moles de cloro.

c) La masa de trióxido de dicloro que se obtiene.

P.-S.

a)

\bf 2Cl_2 + 3O_2\ \to\ 2Cl_2O_3


b) Siguiendo la estequiometría, dos moles de cloro se combinan con 3 moles de oxígeno:

3\ mol\ Cl_2\cdot \frac{3\ mol\ O_2}{2\ mol\ Cl_2} = 4,5\ mol\ O_2


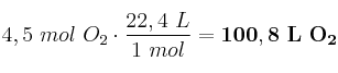
Como estamos en condiciones normales, un mol de cualquier gas ocupa 22,4 L:

4,5\ mol\ O_2\cdot \frac{22,4\ L}{1\ mol} = \bf 100,8\ L\ O_2


c) Ahora hacemos la estequiometría entre el cloro y el óxido:

3\ mol\ Cl_2\cdot \frac{2\ mol\ Cl_2O_3}{2\ mol\ Cl_2} = 3\ mol\ Cl_2O_3


La masa molecular del óxido es 2·35,5 + 3·16 = 119 g/mol:

3\ mol\ Cl_2O_3\cdot \frac{119\ g}{1\ mol} = \bf 357\ g\ Cl_2O_3