Avión aterrizando con MRUA 0001

, por F_y_Q

Un avión lleva una velocidad de 120 km/h en el momento en que inicia su aterrizaje. Si ha recorrido 0,150 km antes de detenerse:

a) ¿Cuál es su aceleración?

b) ¿Cuál es el tiempo que emplea para detenerse?

P.-S.

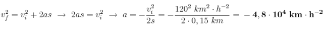
a) Empleamos las unidades que el enunciado nos da porque son homogéneas. La aceleración puede ser calculada, teniendo en cuenta que la velocidad final es cero, a partir de:

v_f^2 = v_i^2 + 2as\ \to\ 2as = v_i^2\ \to\ a = -\frac{v_i^2}{2s} = -\frac{120^2\ km^2\cdot h^{-2}}{2\cdot 0,15\ km} = \bf -4,8\cdot 10^4\ km\cdot h^{-2}

b) El tiempo que emplea en detenerse es calculado a partir de la definición de aceleración:

a = \frac{\Delta v}{t}\ \to\ t = \frac{\Delta v}{a} = \frac{(0 - 120)\ km\cdot h^{-1}}{-4,8\cdot 10^4\ km\cdot h^{-2}} = \bf 2,5\cdot 10^{-3}\ h