Átomos presentes en moles de dióxido de carbono 0001

, por F_y_Q

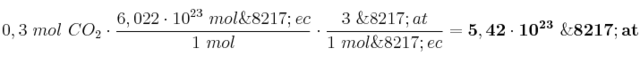
¿Cuántos átomos hay en 0,3 mol de CO_2?

P.-S.

Cada molécula de CO_2 contiene un átomo de C y dos átomos de O, es decir, 3 átomos en total:

0,3\ mol\ CO_2\cdot \frac{6,022\cdot 10^{23}\ mol\’ec}{1\ mol}\cdot \frac{3\ \’at}{1\ mol\’ec} = \bf 5,42\cdot 10^{23}\ \’at