Aplicación energía y movimiento a una persona que se tira a una colchoneta (4233)

, por F_y_Q

Desde la parte superior de un edificio en llamas, de 15 m de altura, se lanza una persona a una colchoneta de espuma colocada por los bomberos al pie del edificio. Si la colchoneta se hunde 35 cm después de que la persona cae sobre ella:

a) ¿Con qué velocidad toca la persona la colchoneta?

b) ¿Qué aceleración experimenta la persona mientras está en contacto con la colchoneta?

c) ¿Cuánto tiempo dura toda la travesía de la persona?

P.-S.

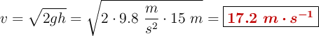
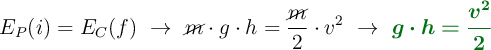
a) La velocidad de la persona se puede calcular a partir de un balance de energía. La energía potencial que tiene arriba ha de ser igual a la energía cinética que tiene al llegar a la colchoneta:

E_P(i) = E_C(f)\ \to\ \cancel{m}\cdot g\cdot h = \frac{\cancel{m}}{2}\cdot v^2\ \to\ \color[RGB]{2,112,20}{\bm{g\cdot h = \frac{v^2}{2}}}

Despejas el valor de la velocidad, sustituyes y calculas:

v = \sqrt{2gh} = \sqrt{2\cdot 9.8\ \frac{m}{s^2}\cdot 15\ m} = \fbox{\color[RGB]{192,0,0}{\bm{17.2\ m\cdot s^{-1}}}}


b) La aceleración será debida a la variación de la velocidad que se produce por el contacto con la colchoneta. Desde la velocidad de impacto hasta detenerse:

\cancelto{0}{v^2} = v_0^2 + 2ad\ \to\ \color[RGB]{2,112,20}{\bm{a = \frac{-v_0^2}{2d}}}

Sustituyes los datos en esta ecuación y obtienes la aceleración:

a = \frac{-17.2^2\ m\cancel{^2}\cdot s^{-2}}{2\cdot 0.35\ \cancel{m}} = \fbox{\color[RGB]{192,0,0}{\bm{-422.6\ m\cdot s^{-2}}}}


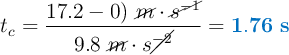
c) Habría que tener en cuenta el tiempo de caída más el tiempo de frenado en la colchoneta. El primer tiempo lo calculas con la ecuación:

v = v_0 + gt_c\ \to\ \color[RGB]{2,112,20}{\bm{t_c = \frac{v - v_0}{g}}}

El tiempo de caída hasta la colchoneta es:

t_c = \frac{17.2 - 0)\ \cancel{m}\cdot \cancel{s^{-1}}}{9.8\ \cancel{m}\cdot s\cancel{^{-2}}} = \color[RGB]{0,112,192}{\bf 1.76\ s}

Para el segundo tiempo, puedes obviar la aceleración de la gravedad y solo tener en cuenta la aceleración provocada por la colchoneta. El cálculo es análogo:

{\color[RGB]{2,112,20}{\bm{t_f = \frac{v - v_0}{a}}}}\ \to\ t_f = \frac{0 - 17.2)\ \cancel{m}\cdot \cancel{s^{-1}}}{-420.2\ m\cdot s\cancel{^{-2}}} = \color[RGB]{0,112,192}{\bf 0.04\ s}}

El tiempo total es la suma de los tiempos calculados:

t_T = t_c + t_f = (1.76 + 0.04)\ s = \fbox{\color[RGB]{192,0,0}{\bf 1.8\ s}}

.