Aplicación de caída libre 0001

, por F_y_Q

Un objeto en caída libre requiere de 1,5 s para recorrer los últimos 30 m antes de golpear el suelo. ¿Desde qué altura sobre el suelo cayó?

P.-S.

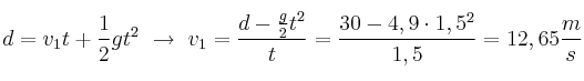
Podemos calcular la velocidad con la que llega a ese último tramo el objeto. Debemos tener en cuenta que la velocidad inicial al dejar caer el objeto es cero:

d = v_1t + \frac{1}{2}gt^2\ \to\ v_1 = \frac{d - \frac{g}{2}t^2}{t} = \frac{30 - 4,9\cdot 1,5^2}{1,5} = 12,65\frac{m}{s}


Tras haber recorrido la distancia desde el punto de lanzamiento hasta el punto en el que le quedan los últimos 30 m por recorrer, su velocidad es la que acabamos de calcular.
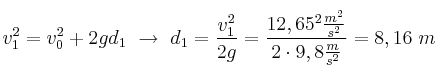
Ahora calculamos qué distancia ha recorrido el objeto hasta llegar a esa velocidad:

v_1^2 = v_0^2 + 2gd_1\ \to\ d_1 = \frac{v_1^2}{2g} = \frac{12,65^2\frac{m^2}{s^2}}{2\cdot 9,8\frac{m}{s^2}} = 8,16\ m


El objeto recorre 8,16 m hasta llegar al punto en el que aún le quedan por recorrer los últimos 30 m. La altura desde la que se lanzó será 38,16 m.