Ángulo barrido por el radio de una rueda que gira con aceleración angular constante (7577)

, por F_y_Q

¿Cuál es el ángulo que barre un radio de una rueda que gira con una aceleración angular constante de 1.5\ \textstyle{rad\over s^2} durante 3 s? Considera que la velocidad angular inicial es de 2.5\ \textstyle{rad\over s}.

a) 14.25^o ; b) 0.75 rad ; c) 817^o ; d) 817 rad

P.-S.

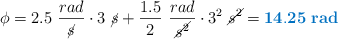
La rueda sigue un MCUA y solo tienes que aplicar la ecuación de este tipo de movimiento para el ángulo barrido:

\color[RGB]{2,112,20}{\bm{\phi = \phi_0 + \omega_0\cdot t + \frac{\alpha}{2}\cdot t^2}}

Dado que el enunciado no indica nada del valor del giro inicial, lo supones cero y sustituyes el resto de valores:

\phi = 2.5\ \frac{rad}{\cancel{s}}\cdot 3\ \cancel{s} + \frac{1.5}{2}\ \frac{rad}{\cancel{s^2}}\cdot 3^2\ \cancel{s^2} = \color[RGB]{0,112,192}{\bf 14.25\ rad}

El resultado obtenido no coincide con las soluciones dadas en radianes, con lo que debes hacer la conversión a grados para ver con cuál coincide:

14.25\ \cancel{rad}\cdot \frac{360^o}{2\pi\ \cancel{rad}} = \fbox{\color[RGB]{192,0,0}{\bf 817^o}}


La solución correcta es c).

Palabras clave