Análisis del movimiento armónico simple de un partícula (6535)

, por F_y_Q

Una partícula que se mueve describiendo un MAS durante un tiempo de 18 s. Tiene la siguiente ecuación (en unidades SI):

y = 6\cdot sen\ (4\pi\cdot t)

a) Halla el periodo del movimiento.

b) Halla la frecuencia.

c) Halla la elongación (x).

d) Halla el valor de la aceleración.

e) Si duplica el tiempo que tarda para dar una oscilación completa, ¿qué sucede con la elongación?

f) Si cuadruplico el valor de la masa que está oscilando, ¿qué pasa con la velocidad?

P.-S.

La ecuación general de la partícula es de la forma:

\color[RGB]{2,112,20}{\bm{y(t) = A\cdot sen(\omega\cdot t + \phi)}}

Por comparación con la ecuación del oscilador puedes obtener el valor de varias magnitudes de manera directa.

b) La frecuencia es:

\omega = 4\pi = 2\pi\cdot f\ \to\ f = \frac{4\cancel{\pi}}{2\cancel{\pi}} = \fbox{\color[RGB]{192,0,0}{\bm{2\ s^{-1}}}}


a) El periodo es la inversa de la frecuencia:

T= \frac{1}{f} = \frac{1}{2\ s^{-1}} = \fbox{\color[RGB]{192,0,0}{\bf 0.5\ s}}


c) La elongación está relacionada con el coseno y sigue la ecuación:

\color[RGB]{2,112,20}{\bm{x = A\cdot cos\ (4\pi\cdot t)}}

Solo tienes que sustituir para un tiempo de 18 s:

x = 6\cdot cos\ (4\pi\cdot 18) = 6\cdot \cancelto{1}{cos\ (72\pi)} = \fbox{\color[RGB]{192,0,0}{\bf 6\ m}}


d) La aceleración del MAS la obtienes al hacer la derivada segunda de la ecuación del movimiento:

\color[RGB]{2,112,20}{\bm{a = -\omega^2\ \cdot y}}

Sustituyes el tiempo dado y calculas:

a = -(4\pi)^2\cdot sen\ (4\pi\cdot 18) = \fbox{\color[RGB]{192,0,0}{\bf 0}}


Esto quiere decir que la partícula está en la posición de equilibrio.

e) El periodo de un oscilador solo depende de su masa y de la constante recuperadora del sistema, por lo que no habría cambios en su elongación.

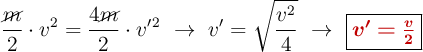
f) La energía cinética del oscilador tiene que ser constante porque solo depende de su elongación, por lo que la velocidad debe variar:

\frac{\cancel{m}}{2}\cdot v^2 = \frac{4\cancel{m}}{2}\cdot v^{\prime}^2\ \to\ v^{\prime} = \sqrt{\frac{v^2}{4}}\ \to\ \fbox{\color[RGB]{192,0,0}{\bm{v^{\prime} = \frac{v}{2}}}}


La velocidad se debe hacer la mitad.