Análisis del lanzamiento vertical hacia arriba de una pelota (7149)

, por F_y_Q

Se lanza una pelota hacia arriba de modo que logra una altura máxima de 3.2 m:

a) La aceleración de la gravedad, mientras la pelota sube, ¿actúa a favor o en contra del movimiento de la pelota?

b) Calcula la velocidad inicial con que se lanzó.

c) Calcula el tiempo que tarda la pelota en alcanzar la altura máxima.

d) ¿Cuánto tiempo tarda la pelota en caer, desde la altura máxima alcanzada, a la misma altura desde donde fue lanzada?

e) ¿Con qué velocidad vuelve a la posición desde donde fue lanzada?

P.-S.

a) La aceleración de la gravedad tiene dirección vertical y sentido hacia abajo siempre, por lo que su sentido es contrario al de la velocidad de la pelota.

c) Cuando la pelota alcanza la altura máxima su velocidad es nula:

\cancelto{0}{v^2} = v_0^2 - 2gh\ \to\ \color[RGB]{2,112,20}{\bm{v_0 = \sqrt{2gh}}}

Sustituyes en la ecuación anterior y calculas:

v_0 = \sqrt{2\cdot 9.8\ \frac{m}{s^2}\cdot 3.2\ m} = \fbox{\color[RGB]{192,0,0}{\bm{7.9\ \frac{m}{s}}}}


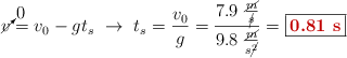
b) Una vez calculada la velocidad inicial es posible calcular el tiempo de subida de la pelota:

\cancelto{0}{v} = v_0 - gt_s\ \to\ t_s = \frac{v_0}{g} = \frac{7.9\ \frac{\cancel{m}}{\cancel{s}}}{9.8\ \frac{\cancel{m}}{s\cancel{^2}}} = \fbox{\color[RGB]{192,0,0}{\bf 0.81\ s}}


d) El tiempo de caída es el mismo que el tiempo de subida, si desprecias rozamientos: \fbox{\color[RGB]{192,0,0}{\bm{t_c = 0.81\ m}}}.

e) La velocidad con la que vuelve es la misma con la que fue lanzada: \fbox{\color[RGB]{192,0,0}{\bm{v_f = 7.9\ \frac{m}{s}}}}.