Análisis del lanzamiento vertical hacia arriba de un cuerpo (4532)

, por F_y_Q

Se lanza verticalmente hacia arriba un cuerpo con una rapidez de 50 m/s. Calcula:

a) La rapidez a los 3.5 s del lanzamiento.

b) La rapidez cuando ha ascendido 80 m.

c) Altura máxima alcanzada.

d) Tiempo que tarda en subir.

e) Posición en la que se encuentra a los 3 s del lanzamiento.

f) Altura a la que se encuentra cuando su rapidez es de 25 m/s.

P.-S.

Al tratarse de un lanzamiento hacia arriba, la velocidad inicial tiene sentido contrario a la aceleración de la gravedad.

a) Puedes considerar positiva la velocidad inicial y tomar «g» como un valor negativo:

{\color[RGB]{2,112,20}{\bm{v = v_0 - gt}}}\ \to\ v = 50\ \frac{m}{s} - 9.8\ \frac{m}{s\cancel{^2}}\cdot 3.5\ \cancel{s} = \fbox{\color[RGB]{192,0,0}{\bm{15.7\ m\cdot s^{-1}}}}


Esto quiere decir que el cuerpo sigue ascendiendo.

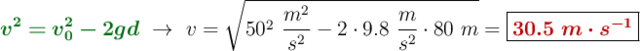
b) Necesitas una ecuación que relacione cómo varía la velocidad con la distancia que recorre el cuerpo:

{\color[RGB]{2,112,20}{\bm{v^2 = v_0^2 - 2gd}}}\ \to\ v = \sqrt{50^2\ \frac{m^2}{s^2} - 2\cdot 9.8\ \frac{m}{s^2}\cdot 80\ m} = \fbox{\color[RGB]{192,0,0}{\bm{30.5\ m\cdot s^{-1}}}}


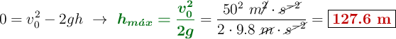
c) Cuando alcance la altura máxima su velocidad será cero, es decir, será el momento en el que deja de ascender para empezar a descender. Aplicas la misma ecuación del apartado anterior, pero considerando que v = 0:

0 = v_0^2 - 2gh\ \to\ {\color[RGB]{2,112,20}{\bm{h_{m\acute{a}x} = \frac{v_0^2}{2g}}}} = \frac{50^2\ m\cancel{^2}\cdot \cancel{s^{-2}}}{2\cdot 9.8\ \cancel{m}\cdot \cancel{s^{-2}}} = \fbox{\color[RGB]{192,0,0}{\bf 127.6\ m}}


d) A partir de la ecuación empleada en el primer apartado, y teniendo en cuenta que la velocidad arriba es nula, puedes calcular el tiempo de subida:

0 = v_0 - gt_s\ \to\ {\color[RGB]{2,112,20}{\bm{t_s = \frac{v_0}{g}}}} = \frac{50\ \cancel{m}\cdot \cancel{s^{-1}}}{9.8\ \cancel{m}\cdot s\cancel{^{-2}}} = \fbox{\color[RGB]{192,0,0}{\bf 5.1\ s}}


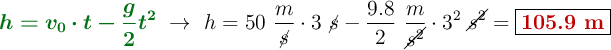
e) Ahora usas una ecuación que relaciona la posición del cuerpo con el tiempo que transcurre desde el lanzamiento:

{\color[RGB]{2,112,20}{\bm{h = v_0\cdot t - \frac{g}{2}t^2}}}\ \to\ h = 50\ \frac{m}{\cancel{s}}\cdot 3\ \cancel{s} - \frac{9.8}{2}\ \frac{m}{\cancel{s^2}}\cdot 3^2\ \cancel{s^2} = \fbox{\color[RGB]{192,0,0}{\bf 105.9\ m}}


f) Usas la misma ecuación que en el apartado c):

{\color[RGB]{2,112,20}{\bm{h = \frac{(v_0^2 - v^2)}{2g}}}} = \frac{(50^2 - 25^2)\ m\cancel{^2}\cdot \cancel{s^{-2}}}{2\cdot 9.8\ \cancel{m}\cdot \cancel{s^{-2}}} = \fbox{\color[RGB]{192,0,0}{\bf 95.7\ m}}