P.-S.
En primer lugar vamos a escribir las ecuaciones para la velocidad en cada una de las direcciones del plano y luego las ecuaciones de la posición. A partir de esas ecuaciones podremos responder a cada uno de los apartados.
Ecuaciones de la velocidad. En el eje X la velocidad es constante y en el eje Y varía porque está sometida a la aceleración de la gravedad:
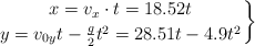
Ecuaciones de la posición. Solo tenemos que seguir con el tipo de movimiento de cada eje:
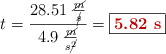
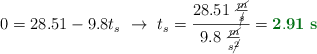
a) El tiempo que tarda en regresar al suelo lo podemos obtener imponiendo la condición de que la posición en el eje Y sea cero y resolviendo la ecuación:
La ecuación se cumple cuando t = 0 o cuando (28.51 - 4.9t) = 0. La primera solución es trivial y hace referencia al momento del lanzamiento, por lo que buscamos el valor de "t" para la otra condición:
![t = \frac{28.51\ \frac{\cancel{m}}{\cancel{s}}}{4.9\ \frac{\cancel{m}}{s\cancel{^2}}} = \fbox{\color[RGB]{192,0,0}{\bf 5.82\ s}} t = \frac{28.51\ \frac{\cancel{m}}{\cancel{s}}}{4.9\ \frac{\cancel{m}}{s\cancel{^2}}} = \fbox{\color[RGB]{192,0,0}{\bf 5.82\ s}}](local/cache-vignettes/L166xH54/056221457307768857eece95faf7609b-de898.png?1733429637)
b) Su velocidad al llegar al suelo tiene que ser la misma que la velocidad con la que fue lanzado. Esto se deduce porque no hay rozamiento y se tiene que conservar la energía. Aún así, se puede comprobar a partir de un razonamiento cinemático. Calculamos los valores de

y

para el tiempo anterior. Hay que tener en cuenta que

es
constante, por lo que no es necesario calcular nada:
La rapidez será el módulo de la velocidad:
![v = \sqrt{v_x^2 + v_y^2} = \sqrt{[18.52^2 + (-28.53)^2]\ \frac{m^2}{s^2}} = \fbox{\color[RGB]{192,0,0}{\bm{34\ \frac{m}{s}}}} v = \sqrt{v_x^2 + v_y^2} = \sqrt{[18.52^2 + (-28.53)^2]\ \frac{m^2}{s^2}} = \fbox{\color[RGB]{192,0,0}{\bm{34\ \frac{m}{s}}}}](local/cache-vignettes/L379xH40/557b6c27bf46f06a39facb76ba64a0af-6b133.png?1733429637)
c) El alcance de la piedra se obtiene sustituyendo el tiempo de vuelo en la ecuación de la posición del eje X:
![x = 18.52\ \frac{m}{\cancel{s}}\cdot 5.82\ \cancel{s} = \fbox{\color[RGB]{192,0,0}{\bf 107.8\ m}} x = 18.52\ \frac{m}{\cancel{s}}\cdot 5.82\ \cancel{s} = \fbox{\color[RGB]{192,0,0}{\bf 107.8\ m}}](local/cache-vignettes/L241xH35/ae69602257bb55278d54577c17d0a3a6-07488.png?1733429637)
d) Cuando la piedra alcance la máxima altura, su altura en el eje Y será cero. A partir de ahí podemos calcular el tiempo de subida de la piedra y obtener la posición en ambos ejes. El tiempo de subida, dado que es un movimiento simétrico, es la mitad del tiempo de vuelo (

). De todos modos lo calculamos con la condición de que

:
Con este tiempo calculamos las posiciones horizontal y vertical y damos las coordenadas:
Las coordenadas que nos solicitan son:
![\fbox{\color[RGB]{192,0,0}{\bf h (53.9, 41.5)}} \fbox{\color[RGB]{192,0,0}{\bf h (53.9, 41.5)}}](local/cache-vignettes/L119xH26/2d8750c774ddc6a0d33271ed0677e285-2ec39.png?1733429637)