Análisis de dos movimientos uniformes 0001

, por F_y_Q

Un móvil sale de un punto a otro a una velocidad de 12 km/h. Llega a su destino y la máquina sufre un desperfecto, regresando a tan sólo 4 km/h. Si el tiempo de ida y vuelta fue de 6 horas, ¿cuánto tiempo tardó en el regreso?

P.-S.

La distancia que separa a los puntos de salida y llegada será, en el primer caso: d = 12t_1. En el segundo caso será: d = 4t_2. Como la distancia de ida y la de vuelta son iguales, ambas ecuaciones se pueden igualar: 12t_1 = 4t_2
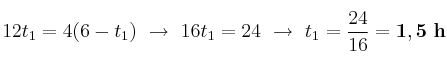
Además sabemos que el tiempo total ha sido de 6 horas, por lo que: t_1 + t_2 = 6. Ya tenemos las dos ecuaciones que necesitamos para resolver el problema. Despejamos en la segunda, t_2 = 6 - t_1 y sustituimos:

12t_1 = 4(6 - t_1)\ \to\ 16t_1 = 24\ \to\ t_1 = \frac{24}{16} = \bf 1,5\ h


Por lo que el tiempo que tardó en la vuelta será: 6 - 1,5 = 4,5 h.
Es el triple de tiempo que a la ida, lo que se corresponde con el hecho que de la velocidad de la vuelta sea un tercio.