Análisis de carrera de 100 m libres (3691)

, por F_y_Q

Un atleta, en una carrera de 100 m libres, acelera de manera uniforme durante los primeros 35 m y luego corre con velocidad constante. Si el tiempo del atleta para los primeros 35 m es de 5.4 s, determina: a) su aceleración, b) su velocidad final y c) el tiempo en el que completa la carrera.

P.-S.

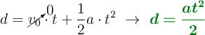
a) Para calcular la aceleración del atleta debes considerar que la velocidad inicial es nula:

d = \cancelto{0}{v_0}\cdot t + \frac{1}{2}a\cdot t^2\ \to\ \color[RGB]{2,112,20}{\bm{d = \frac{at^2}{2}}}

Despejas la aceleración y sustituyes:

a = \frac{2d}{t^2} = \frac{2\cdot 35\ m}{5.4^2\ s^2} = \fbox{\color[RGB]{192,0,0}{\bm{2.4\ \frac{m}{s^2}}}}


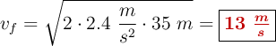
b) La velocidad que llevará el atleta a partir de ese momento, que será la misma con la que llegue al final de la carrera porque es constante, la calculas con la expresión:

v_f^2 = v_0^2 + 2ad\ \to\ \color[RGB]{2,112,20}{\bm{v_f = \sqrt{2ad}}}

Todos los datos son conocidos y puedes sustituirlos para calcular:

v_f = \sqrt{2\cdot 2.4\ \frac{m}{s^2}\cdot 35\ m} = \fbox{\color[RGB]{192,0,0}{\bm{13\ \frac{m}{s}}}}


c) El resto de la carrera tendrá que cubrir 65 m con la velocidad que acabas de calcular, es decir, lo puedes considerar un movimiento uniforme:

d = vt\ \to\ t = \frac{d}{v} = \frac{65\ \cancel{m}}{13\ \frac{\cancel{m}}{s}} = \fbox{\color[RGB]{192,0,0}{\bf 5\ s}}


El tiempo que empleará el atleta en completar la carrera será la suma de ambos tiempos:

t_T = (5.4 + 5)\ s = \fbox{\color[RGB]{192,0,0}{\bf 10.4\ s}}


Descarga el enunciado y la resolución del problema en formato EDICO si lo necesitas.

Palabras clave