Ampliación: tiempo durante el que se ve un objeto que cae en una ventana (6505)

, por F_y_Q

Desde 20 m se deja caer un objeto pesado, 10 m más abajo está el marco superior de una ventana de 1.5 m de alto. ¿Durante cuánto tiempo es visible el objeto desde la ventana?

P.-S.

Dado que se trata de una caída libre, la estrategia es calcular la velocidad del objeto al llegar a la parte superior de la ventana y la que tendrá al llegar a la parte baja de la ventana:

v_1^2 = \cancelto{0}{v_0^2} + 2gd\ \to\ v_1 = \sqrt{2gd_1} = \sqrt{2\cdot 9.8\ \frac{m}{s^2}\cdot 10\ m} = \color[RGB]{0,112,192}{\bm{14\ \frac{m}{s}}}

v_2^2 = v_1^2 + 2gd_2\ \to\ v_1 = \sqrt{v_1^2 + 2gd_2} = \sqrt{14^2\ \frac{m^2}{s^2} + 2\cdot 9.8\ \frac{m}{s^2}\cdot 1.5\ m} = \color[RGB]{0,112,192}{\bm{15\ \frac{m}{s}}}

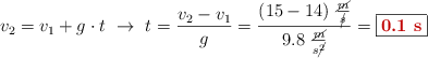
El tiempo durante el que es visible el objeto es:

v_2 = v_1 + g\cdot t\ \to\ t = \frac{v_2 - v_1}{g} = \frac{(15 - 14)\ \frac{\cancel{m}}{\cancel{s}}}{9.8\ \frac{\cancel{m}}{s\cancel{^2}}} = \fbox{\color[RGB]{192,0,0}{\bf 0.1\ s}}}