Ampliación: distancia y tiempo que tarda en detenerse una moto por su fricción

, por F_y_Q

Por una pista horizontal se traslada una motocicleta de masa de 150 kg con velocidad inicial de 80\ \textstyle{km\over h}. Si el coeficiente de rozamiento entre la motocicleta y el asfalto es de 0,2, calcula:

a) El tiempo que tardará en detenerse la motocicleta.

b) La distancia que recorrerá.

P.-S.

Hay que tener cuidado con el valor de la velocidad inicial porque hay que expresarlo en unidad SI. Basta con dividir el dato por 3,6 y obtenemos que la velocidad inicial es 22,2\ \textstyle{m\over s}.
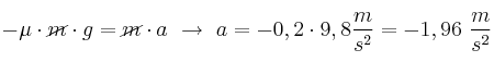
Como solo actúa sobre la motocicleta la fuerza de rozamiento podemos aplicar la segunda ley de la dinámica y despejar la aceleración a la que estará sometida:
- \mu\cdot \cancel{m}\cdot g = \cancel{m}\cdot a\ \to\ a = - 0,2\cdot 9,8\frac{m}{s^2} = - 1,96\ \frac{m}{s^2}
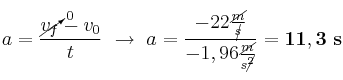
a) A partir de la definición de la aceleración podemos calcular el tiempo que transcurre hasta que se detiene:

a = \frac{\cancelto{0}{v_f} - v_0}{t}\ \to\ a = \frac{-22\frac{\cancel{m}}{\cancel{s}}}{-1,96\frac{\cancel{m}}{s\cancel{^2}}} = \bf 11,3\ s


b) La distancia que recorrerá se calcula a partir de la ecuación correspondiente al MRUA que describe:

d = v_0\cdot t - \frac{a}{2}\cdot t^2 = 22,2\frac{m}{\cancel{s}}\cdot 11,3\ \cancel{s} - 0,98\frac{m}{\cancel{s^2}}\cdot 11,3^2\ \cancel{s^2} = \bf 125,7\ m