Ampliación: aplicación de la ley de Pascal a un resorte que cumple la ley de Hooke (6469)

, por F_y_Q

Un resorte de constante de recuperación k = 2.88\cdot 10^4\ \textstyle{N\over m} está entre una viga rígida y el pistón de salida de una prensa hidráulica. Un recipiente vacío, con masa insignificante, se encuentra en el pistón de entrada, como se puede ver en la figura:

El pistón de entrada tiene un área A _1 , medida en cm ^2 , el resorte está inicialmente en su longitud de reposo y el área de salida es A_2 = 15A_1 . A partir de esta información:

a) Determina cuántos kilogramos de arena se deben verter en el recipiente para comprimir el resorte 8.80 cm.

b) Si A_1 = 18.4\ cm^2 determina el valor de A _2.

P.-S.

a) En primer lugar calculas la fuerza necesaria para comprimir el resorte la distancia indicada, aplicando la ley de Hooke:

F_2 = k\cdot x = 2.88\cdot 10^4\ \frac{N}{\cancel{m}}\cdot 8.8\cdot 10^{-2}\ \cancel{m} = \color[RGB]{0,112,192}{\bm{2.53\cdot 10^3\ N}}

A partir del principio de Pascal puedes determinar la fuerza que hay que aplicar en el émbolo de entrada para conseguir la fuerza calculada en el émbolo de salida:

\frac{F_1}{A_1} = \frac{F_2}{A_2}\ \to\ F_1 = \frac{F_2\cdot A_1}{A_2}

Como conoces la relación entre las áreas de entrada y salida:

F_1 = \frac{2.53\cdot 10^3\ N\cdot \cancel{A_1}}{15\cdot \cancel{A_1}} = \color[RGB]{0,112,192}{\bf 168.7\ N}

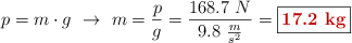
La masa de arena es:

p = m\cdot g\ \to\ m = \frac{p}{g} = \frac{168.7\ N}{9.8\ \frac{m}{s^2}} = \fbox{\color[RGB]{192,0,0}{\bf 17.2\ kg}}


b) Tan solo tienes que multiplicar el dato por 15:

A_2 = 15A_1 = 15\cdot 18.4\ cm^2 = \fbox{\color[RGB]{192,0,0}{\bm{276\ cm^2}}}