Ampliación: aceleración de un niño en un tren desde tierra (6956)

, por F_y_Q

Un niño que corre por el pasillo de un tren incrementa su rapidez de 1 m/s a 3 m/s en 4 s con respecto al tren. Si el tren viaja con una rapidez de 20 m/s con respecto a tierra, ¿cuál es el valor de la aceleración del niño con respecto a tierra cuando corre en el mismo sentido que el tren?

P.-S.

El tren se mueve con velocidad constante y eso implica que la variación de la velocidad del niño es la misma ya sea visto desde dentro del tren o fuera del tren. Se trata de un sistema inercial por moverse a velocidad constante. Lo puedes comprobar fácilmente.

Aceleración dentro del tren:

a = \frac{v_f - v_0}{t} = \frac{(3 - 1)\ \frac{m}{s}}{4\ s} = \fbox{\color[RGB]{192,0,0}{\bm{0.5\ \frac{m}{s^2}}}}


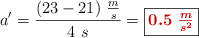
Aceleración desde tierra:

a^{\prime} = \frac{(23 - 21)\ \frac{m}{s}}{4\ s} = \fbox{\color[RGB]{192,0,0}{\bm{0.5\ \frac{m}{s^2}}}}