Altura máxima desde la que cae una manzana para no dañarse

, por F_y_Q

Se supone que una manzana se daña, debido al impacto con el suelo, cuando cae una velocidad de 41 km/h. ¿Desde qué altura máxima puede caer la manzana de una rama sin que sufra daño alguno?

P.-S.

Calculamos esa altura suponiendo que la velocidad final es el límite que nos marca el enunciado. Cualquier altura menor que la que obtengamos dará como resultado que la manzana no se dañe.
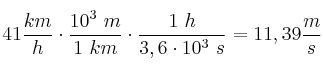
El dato de la velocidad debe ser expresado en m/s y usaremos como aceleración de la gravedad el valor de 9,8\ m/s^2.
41\frac{km}{h}\cdot \frac{10^3\ m}{1\ km}\cdot \frac{1\ h}{3,6\cdot 10^3\ s} = 11,39\frac{m}{s}
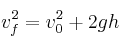
Vamos a usar la expresión: v_f^2 = v_0^2 + 2gh
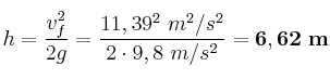
Despejamos el valor de la altura y sustituimos los valores, teniendo en cuenta que la velocidad inicial será cero:

h = \frac{v_f^2}{2g} = \frac{11,39^2\ m^2/s^2}{2\cdot 9,8\ m/s^2} = \bf 6,62\ m