Altura de una torre dependiendo del tipo de lanzamiento que se haga (6819)

, por F_y_Q

Calcular el valor de la altura de una torre si desde ella se realiza el lanzamiento de una piedra con velocidad de 50 m/s y el tiempo que emplea en llegar al piso es 10 s, suponiendo que:

a) El lanzamiento es horizontal.

b) El lanzamiento es vertical hacia abajo.

P.-S.

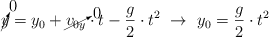
a) Si el lanzamiento es horizontal, la altura desde la que se lanzó solo depende del tiempo de caída y de la aceleración de la gravedad porque la velocidad solo tiene componente horizontal:

\cancelto{0}{y} = y_0 + \cancelto{0}{v_{0y}}\cdot t- \frac{g}{2}\cdot t^2\ \to\ y_0 = \frac{g}{2}\cdot t^2

Sustituyes y obtienes el valor de la altura:

y_0 = \frac{9.8}{2}\ \frac{m}{\cancel{s^2}}\cdot 10^2\ \cancel{s^2} = \fbox{\color[RGB]{192,0,0}{\bf 490\ m}}


b) Si el lanzamiento es vertical y hacia abajo la velocidad inicial y la aceleración tienen el mismo sentido y las consideramos negativas:

\cancelto{0}{y} = y_0 - v_0\cdot t - \frac{g}{2}\cdot t^2\ \to\ y_0 = v_0\cdot t + \frac{g}{2}\cdot t^2

Al sustituir por el valor del tiempo obtienes:

y_0 = 50\ \frac{m}{\cancel{s}}\cdot 10\ \cancel{s} + \frac{9.8}{2}\ \frac{m}{\cancel{s^2}}\cdot 10^2\ \cancel{s^2} = \fbox{\color[RGB]{192,0,0}{\bf 990\ m}}