Altura de un objeto lanzado hacia arriba dos segundos antes de caer 0001

, por F_y_Q

En el sistema de la figura el tiempo total de vuelo fue de 12 s. Calcula el valor de "H":

P.-S.

Cuando t = 6 s, la velocidad del objeto es nula (justo a la mitad del tiempo de vuelo). A partir de este dato podemos determinar la velocidad inicial del lanzamiento hacia arriba:

v = v_0 - 10t\ \to\ 0 = v_0 - 10\frac{m}{s^2}\cdot 6\ s\ \to\ v_0 = 60\frac{m}{s}


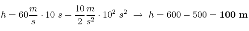
Ahora hay que considerar que t = 10 s para determinar la altura, ya que es dos segundos antes de llegar al suelo:

h = 60\frac{m}{s}\cdot 10\ s - \frac{10}{2}\frac{m}{s^2}\cdot 10^2\ s^2\ \to\ h = 600 - 500 = \bf 100\ m