Algebra de vectores: deducción de las componentes de dos vectores (6683)

, por F_y_Q

Se da el siguiente par de igualdades:

\vec a + \vec b = 7\vec i - \vec j - 2\ \vec k

\vec a - \vec b = -3\ \vec i -5\ \vec j - 4\ \vec k

Determina los vectores \vec  a y \vec  b .

P.-S.

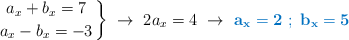
Cuando se suman o restan vectores se hace componente a componente. Esa es la manera en la que puedes determinar cada uno de los vectores:

Componente x.

\left
a_x + b_x = 7 \atop
a_x - b_x = -3
\right\}\ \to\ 2a_x = 4\ \to\ \color[RGB]{0,112,192}{\bf a_x = 2\ ;\ b_x = 5}

Componente y.

\left
a_y + b_y = -1 \atop
a_y - b_y = -5
\right\}\ \to\ 2a_x = -6\ \to\ \color[RGB]{0,112,192}{\bf a_y = -3\ ;\ b_y = 2}

Componente z.

\left
a_z + b_z = -2 \atop
a_z - b_z = -4
\right\}\ \to\ 2a_z = -6\ \to\ \color[RGB]{0,112,192}{\bf a_z = -3\ ;\ b_z = 1}

Los vectores que buscas son:

\fbox{\color[RGB]{192,0,0}{\bm{\vec a = 2\ \vec i - 3\ \vec j - 3\ \vec k}}}

\fbox{\color[RGB]{192,0,0}{\bm{\vec b = 5\ \vec i + 2\ \vec j + \vec k}}}

Palabras clave