Alcance y altura máximos, posición y velocidad de un proyectil lanzado con un ángulo (6169)

, por F_y_Q

Lanzamos un proyectil con una velocidad inicial de 100 m/s en una dirección que forma un ángulo de 60 ^o con la horizontal. Calcula:

a) Su alcance máximo.

b) Su altura máxima.

c) La posición, la velocidad y la aceleración que tiene al cabo de 2 segundos.

P.-S.

Se trata de un lanzamiento parabólico y para poder determinar los apartados a) y b) debes a usar las ecuaciones de la altura máxima y el alcance máximo del proyectil:

b)

h_{m\acute{a}x} = \frac{v_0^2sen^2\alpha}{2g} = \frac{100^2\frac{m\cancel{^2}}{\cancel{s^2}}\cdot sen^2 60^o}{2\cdot 9.8\frac{\cancel{m}}{\cancel{s^2}}} = \fbox{\color[RGB]{192,0,0}{\bf 382.6\ m}}


a)

x_{m\acute{a}x} = \frac{v_0^2sen(2\alpha)}{g} = \frac{100^2\frac{m\cancel{^2}}{\cancel{s^2}}\cdot sen\ 120^o}{9.8\frac{\cancel{m}}{\cancel{s^2}}} = \fbox{\color[RGB]{192,0,0}{\bf 883.7\ m}}


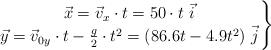
c) Las ecuaciones de la velocidad y la posición para el proyectil son:

\left \vec v_x = \vec v_{0x} = (100\cdot cos\ 60^o)\ \vec i = 50\ \vec i \atop \vec v_y = \vec v_{0y} - gt = (100\cdot sen\ 60^o - 9.8t)\ \vec j = (86.6 - 9.8t)\ \vec j \right \}

\left \vec x = \vec v_x\cdot t = 50\cdot t\ \vec i \atop \vec y = \vec v_{0y}\cdot t - \frac{g}{2}\cdot t^2 = (86.6t - 4.9t^2)\ \vec j \right \}

La velocidad para los 2 s será:

\vec v = 50\ \vec i + 67\ \vec j\ \to\ v = \sqrt{(50^2 + 67^2)\frac{m^2}{s^2}} = \fbox{\color[RGB]{192,0,0}{\bm{83.6\ \frac{m}{s}}}}


La posición la escribes en forma de vector:

\fbox{\color[RGB]{192,0,0}{\bm{\vec r = 100\ \vec i + 153.6\ \vec j}}}


La aceleración es constante y es siempre la aceleración de la gravedad, es decir, \fbox{\color[RGB]{192,0,0}{\bm{\vec g = - 9.8\ \vec j}}}.