Acortamiento de un péndulo para compensar un retraso (6835)

, por F_y_Q

El péndulo de un reloj de péndulo tiene una longitud de 0.994 m. Si el reloj se atrasa 1 minuto por día, ¿cuánto debe acortar el péndulo para hacerlo avanzar a tiempo?

P.-S.

La clave del ejercicio está en que el periodo del péndulo cuando se recorte tiene que ser un minuto menor que el del péndulo inicialmente. Si supones que al inicio tiene un periodo de 1 439 minutos, que es un minuto menos de los 1 440 min que tiene un día, una vez que recortes el péndulo su periodo tendrá que ser de 1 438 min.

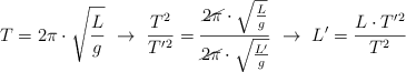
Si aplicas la ecuación del periodo del péndulo a los dos casos y divides:

T = 2\pi\cdot \sqrt{\frac{L}{g}}\ \to\ \frac{T^2}{T^{\prime}^2} = \frac{\cancel{2\pi}\cdot \sqrt{\frac{L}{g}}}{\cancel{2\pi}\cdot \sqrt{\frac{L^{\prime}}{g}}}\ \to\ L^{\prime} = \frac{L\cdot T^{\prime}^2}{T^2}

Solo tienes que sustituir y calcular:

L^{\prime} = \frac{0.994\ m\cdot (1\ 438)^2\ \cancel{min^2}}{(1\ 439)^2\ \cancel{min^2}} = \color[RGB]{0,112,192}{\bf 0.993\ m}

Habrá que acortar el péndulo:

\Delta L = (0.994 - 0.993)\ m = \fbox{\color[RGB]{192,0,0}{\bm{10^{-3}\ m}}}