Aceleraciones tangencial y normal a partir del vector de posición (1143)

, por F_y_Q

Una partícula se mueve en el espacio según la función de posición r(t) = t \vec i + t^2 \vec j + t^3 \vec k, en unidades SI. Determina las componentes tangencial y normal de la aceleración en t = 2 s.

P.-S.

A partir del vetor de posición de la partícula, que depende del tiempo, puedes obtener la velocidad de la partícula, que es la derivada de la posición respecto al tiempo:

{\color[RGB]{2,112,20}{\bm{\vec{v}(t) = \frac{d\vec{r}(t)}{dt}}}} = \frac{d}{dt}(t \vec{i} + t^2 \vec{j} + t^3 \vec{k})\ \to\ \color[RGB]{0,112,192}{\bm{\vec{v}(t) = \vec{i} + 2t \vec{j} + 3t^2 \vec{k}}}

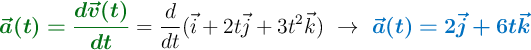
La aceleración de la partícula es la derivada de la velocidad respecto al tiempo, por lo que puedes obtenerla de manera análoga:

{\color[RGB]{2,112,20}{\bm{\vec{a}(t) = \frac{d\vec{v}(t)}{dt}}}} = \frac{d}{dt}(\vec{i} + 2t \vec{j} + 3t^2 \vec{k})\ \to\ \color[RGB]{0,112,192}{\bm{\vec{a}(t) = 2 \vec{j} + 6t \vec{k}}}

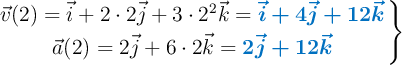
Ambas magnitudes dependen del tiempo, por lo que es necesario conocer sus valores para t = 2 s, como indica el enunciado. Basta con sustituir en ambas expresiones el valor del tiempo:

\left \vec{v}(2) = \vec{i} + 2\cdot 2 \vec{j} + 3\cdot 2^2 \vec{k} = {\color[RGB]{0,112,192}{\bm{\vec{i} + 4 \vec{j} + 12 \vec{k}}}} \atop \vec{a}(2) = 2 \vec{j} + 6\cdot 2 \vec{k} = {\color[RGB]{0,112,192}{\bm{2 \vec{j} + 12 \vec{k}}}} \right \}

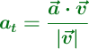
La aceleración tangencial es la componente de la aceleración que tiene la misma dirección que la velocidad, por lo tanto la podemos expresar como el cociente entre el producto escalar de los vectores aceleración y velocidad, dividido por el módulo de la velocidad:

\color[RGB]{2,112,20}{\bm{a_t = \frac{\vec{a} \cdot \vec{v}}{|\vec{v}|}}}

El producto escalar del numerador es:

\vec{a}(2) \cdot \vec{v}(2) = (2 \vec{j} + 12 \vec{k}) \cdot (\vec{i} + 4 \vec{j} + 12 \vec{k}) = 0 \cdot 1 + 2 \cdot 4 + 12 \cdot 12 = \color[RGB]{0,112,192}{\bf 152}

El módulo de \vec{v}(2) es:

|\vec{v}(2)| = \sqrt{1^2 + 4^2 + 12^2} = \sqrt{1 + 16 + 144} = \color[RGB]{0,112,192}{\bm{\sqrt{161}}}

La aceleración tangencial es:

a_t = \frac{152}{\sqrt{161}} = \fbox{\color[RGB]{192,0,0}{\bm{12\ m\cdot s^{-2}}}}


Como conoces la aceleración yla aceleración tangencial, puedes calcular la aceleración normal, que es la componente de la aceleración perpendicular a la velocidad:

\color[RGB]{2,112,20}{\bm{a_n = \sqrt{|\vec{a}(2)|^2 - a_t^2}}}

El módulo de la aceleración para t = 2s es:

|\vec{a}(2)| = \sqrt{2^2 + 12^2} = \sqrt{4 + 144} = \color[RGB]{0,112,192}{\bm{\sqrt{148}}}

La aceleración normal resulta:

a_n = \sqrt{148 - 12^2} = \fbox{\color[RGB]{192,0,0}{\bm{2\ m\cdot s^{-2}}}}