Aceleraciones de un camión que circula por un tramo de carretera (5914)

, por F_y_Q

Un camión que circula a 100\ \textstyle{km\over h} encuentra una pendiente del 7 \%. A partir de ahí, las señales de tráfico le indican a qué velocidad puede ir. A 2.0 km de iniciar la pendiente debe haber reducido la velocidad un 30 \%. Después, durante 3.0 km debe variar uniformemente su velocidad hasta el valor 50\ \textstyle{km\over h}. A continuación, debe aumentar su velocidad durante 5.0 km hasta los 100\ \textstyle{km\over h}. Calcula la aceleración en cada tramo.

P.-S.

Voy a dividir el ejercicio en tres tramos y calcularé tres aceleraciones. Trabajo con las unidades dadas y realizo una vez el cambio de unidades para expresar la aceleración en \textstyle{m\over s^2}.
Tramo 1.
La velocidad inicial es v_0 = 100\ \textstyle{km\over h} y la velocidad al final tiene que ser 70\ \textstyle{km\over h}. La aceleración es:

a_1= \frac{v_1^2 - v_0^2}{d_1} = \frac{(70^2 - 100^2)\frac{km\cancel{^2}}{h^2}}{2\ \cancel{km}} = \fbox{\color[RGB]{192,0,0}{\bm{-2.55\cdot 10^3\ \frac{km}{h^2}}}}


Si quiero expresar el resultado en unidad SI debo realizar el cambio de unidades:

-2.55\cdot 10^3\frac{\cancel{km}}{\cancel{h^2}}\cdot \frac{10^3\ m}{1\ \cancel{km}}\cdot \frac{1\ \cancel{h^2}}{(3.6\cdot 10^3)^2\ s^2}= \fbox{\color[RGB]{192,0,0}{\bm{-0.20\ \frac{m}{s^2}}}}


Tramo 2.
Ahora la velocidad de partida es 70\ \textstyle{km\over h} y la final es 50\ \textstyle{km\over h}:

a_2= \frac{v_2^2 - v_1^2}{d_2} = \frac{(50^2 - 70^2)\frac{km\cancel{^2}}{h^2}}{3\ \cancel{km}} = \fbox{\color[RGB]{192,0,0}{\bm{-8\cdot 10^2\ \frac{km}{h^2}\ \left(-0.06\frac{m}{s^2}\right)}}}


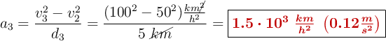
Tramo 3.
Vuelve a acelerar el camión hasta llegar a una velocidad v_3 = 100\ \textstyle{km\over h}:

a_3= \frac{v_3^2 - v_2^2}{d_3} = \frac{(100^2 - 50^2)\frac{km\cancel{^2}}{h^2}}{5\ \cancel{km}} = \fbox{\color[RGB]{192,0,0}{\bm{1.5\cdot 10^3\ \frac{km}{h^2}\ \left(0.12\frac{m}{s^2}\right)}}}