Aceleración y velocidad de despegue de un avión (3881)

, por F_y_Q

Un aeroplano, para despegar, recorre una pista de 600 metros en 15 segundos. ¿Con qué velocidad despegó? ¿Cuál fue su aceleración?

P.-S.

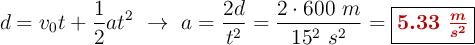
Al ser un movimiento acelerado, la aceleración del aeroplano se puede calcular de la siguiente manera:

d = v_0t + \frac{1}{2}at^2\ \to\ a = \frac{2d}{t^2} = \frac{2\cdot 600\ m}{15^2\ s^2} = \fbox{\color[RGB]{192,0,0}{\bm{5.33\ \frac{m}{s^2}}}}


La velocidad en el momento del despegue es:

v = v_0 + at\ \to\ v = 5.33\ \frac{m}{s\cancel{^2}}\cdot 15\ \cancel{s} = \fbox{\color[RGB]{192,0,0}{\bm{80\ \frac{m}{s}}}}