Aceleración y tiempo necesario para que un vehículo alcance una velocidad dada (6235)

, por F_y_Q

Un vehículo acelera de 0 a 100 km/h en tan solo 1.9 segundos, y sigue acelerando con valor constante hasta que alcanza una velocidad de 400 km/h. Calcula la aceleración del vehículo y el tiempo que empleará en alcanzar la velocidad final.

P.-S.

La aceleración es constante y la obtienes a partir de la ecuación del MRUA, pero convirtiendo las velocidades dadas en m/s:

\left 100\ \frac{\cancel{km}}{\cancel{h}}\cdot \frac{10^3\ m}{1\ \cancel{km}}\cdot \frac{1\ \cancel{h}}{3.6\cdot 10^3\ s} = {\color[RGB]{0,112,192}{\bm{27.78\ \frac{m}{s}}}} \atop 400\ \frac{\cancel{km}}{\cancel{h}}\cdot \frac{10^3\ m}{1\ \cancel{km}}\cdot \frac{1\ \cancel{h}}{3.6\cdot 10^3\ s} = {\color[RGB]{0,112,192}{\bm{111.1\ \frac{m}{s}}}\right }

La aceleración es:

{\color[RGB]{2,112,20}{\bm{a = \frac{v_f - v_0}{t}}}} = \frac{(27.78 - 0)\ \frac{m}{s}}{1.9\ s} = \fbox{\color[RGB]{192,0,0}{\bm{14.62\ \frac{m}{s^2}}}}


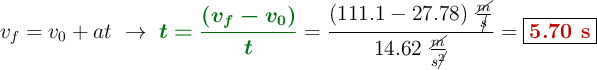
El tiempo total para alcanzar la velocidad final es:

v_f = v_0 + at\ \to\ {\color[RGB]{2,112,20}{\bm{t = \frac{(v_f - v_0)}{t}}}} = \frac{(111.1 - 27.78)\ \frac{\cancel{m}}{\cancel{s}}}{14.62\ \frac{\cancel{m}}{s\cancel{^2}}} = \fbox{\color[RGB]{192,0,0}{\bf 5.70\ s}}