Aceleración y tiempo de frenado de un coche

, por F_y_Q

Un móvil tiene una velocidad de 120 km/min. Después de recorrer 200 m, aplica los frenos hasta detenerse. Calcula:

a) La aceleración.

b) El tiempo de frenado.

P.-S.

Debemos expresar la velocidad inicial en unidad del Sistema Internacional para que las unidades del ejercicio sean homogéneas:
120\frac{km}{min}\cdot \frac{10^3\ m}{1\ km}\cdot \frac{1\ min}{60\ s} = 2\cdot 10^3\frac{m}{s}
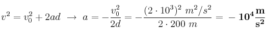
a) La aceleración del móvil puede ser calculada a partir de la ecuación que relaciona las velocidades inicial y final con el espacio recorrido durante la frenada, asumiendo que la velocidad final es cero:

v^2 = v_0^2 + 2ad\ \to\ a = - \frac{v_0^2}{2d} = - \frac{(2\cdot 10^3)^2\ m^2/s^2}{2\cdot 200\ m} = \bf -10^4\frac{m}{s^2}

(Se trata de un valor de aceleración altísimo).
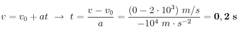
b) El tiempo de frenado lo obtenemos con la ecuación que nos relaciona las velocidades inicial y final con la aceleración y el propio tiempo:

v = v_0 + at\ \to\ t = \frac{v - v_0}{a} = \frac{(0 - 2\cdot 10^3)\ m/s}{-10^4\ m\cdot s^{-2}} = \bf 0,2\ s