Aceleración y espacio recorrido por un móvil con MRUA 0001

, por F_y_Q

Calcula la aceleración de un automóvil cuya velocidad aumenta de 40 km/h a 90 km/h en 20 minutos. Halla el espacio que recorre en ese tiempo.

P.-S.

Vamos a plantear el ejercicio con las unidades que nos dan y sólo hacemos la conversión de las unidades de tiempo para que las ecuaciones sean homogéneas.

La aceleración es el cociente entre la variación de la velocidad y el tiempo empleado en esa variación:

a = \frac{v_f - v_i}{t} = \frac{(90 - 40)\ km/h}{20\ min\cdot\frac{1\ h}{60\ min}} = \bf 150\frac{km}{h^2}


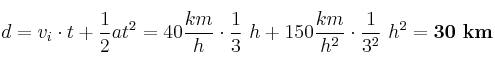
Durante esos 20 minutos, que son 1/3 horas, habrá recorrido:

d = v_i\cdot t + \frac{1}{2}at^2 = 40\frac{km}{h}\cdot \frac{1}{3}\ h + 150\frac{km}{h^2}\cdot \frac{1}{3^2}\ h^2 = \bf 30\ km