Aceleración y distancia recorrida en un MRUA 0001

, por F_y_Q

Un automóvil es acelerado desde los 12 m/s a los 5 m/s en 5 s. ¿Cuál es su aceleración? ¿Qué distancia recorre en ese tiempo?

P.-S.

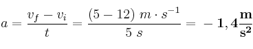
La aceleración será:

a = \frac{v_f - v_i}{t} = \frac{(5 - 12)\ m\cdot s^{-1}}{5\ s} = \bf -1,4\frac{m}{s^2}


La aceleración es negativa porque el vehículo está frenando.
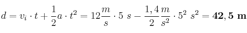
La distancia que recorre será:

d = v_i\cdot t + \frac{1}{2}a\cdot t^2 = 12\frac{m}{s}\cdot 5\ s - \frac{1,4}{2}\frac{m}{s^2}\cdot 5^2\ s^2 = \bf 42,5\ m