Aceleración y distancia de frenado 0001

, por F_y_Q

Un tren lleva una velocidad de 72 km/h, el maquinista aplica los frenos y se detiene en 20 s:

a) Calcula el valor de la desaceleración.

b) Calcula la distancia recorrida.

P.-S.

En primer lugar convertiremos la velocidad inicial del tren a unidades SI para que el problema sea homogéneo:

72\frac{km}{h}\cdot \frac{10^3\ m}{1\ km}\cdot \frac{1\ h}{3\ 600\ s} = 20\frac{m}{s}


Ahora aplicamos la ecuación de la velocidad en un movimiento rectilíneo uniformemente acelerado:

v = v_0 + at\ \to\ a = -\frac{v_0}{t} = -\frac{20\ m/s}{20\ s} = \bf -1\frac{m}{s^2}


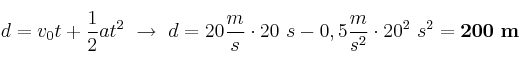
La distancia que recorre la calculamos con la expresión correspondiente:

d = v_0t + \frac{1}{2}at^2\ \to\ d = 20\frac{m}{s}\cdot 20\ s - 0,5\frac{m}{s^2}\cdot 20^2\ s^2 = \bf 200\ m