Aceleración, vueltas y tiempo que tarda en detenerse un motor que rota (6982)

, por F_y_Q

Un motor rota a una rapidez angular de 2 000 rpm. Si disminuye esta rapidez hasta 900 rpm en 3 s, determina:

a) La aceleración angular del motor.

b) El número de revoluciones que da en ese tiempo.

c) Si mantiene esa aceleración, ¿cuánto tiempo tardará en detenerse?

P.-S.

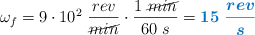
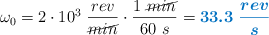
Como el tiempo en el que varía la rapidez angular viene dado en segundos, debes cambiar las unidades de las velocidades angulares inicial y final. Las puedes expresar en \textstyle{rev\over s} :

\omega_0 = 2\cdot 10^3\ \frac{rev}{\cancel{min}}\cdot \frac{1\ \cancel{min}}{60\ s} = \color[RGB]{0,112,192}{\bm{33.3\ \frac{rev}{s}}}

\omega_f = 9\cdot 10^2\ \frac{rev}{\cancel{min}}\cdot \frac{1\ \cancel{min}}{60\ s} = \color[RGB]{0,112,192}{\bm{15\ \frac{rev}{s}}}

a) La aceleración angular es:

\alpha = \frac{\omega_f - \omega_0}{t} = \frac{(15 - 33.3)\ \frac{rev}{s}}{3\ s} = \fbox{\color[RGB]{192,0,0}{\bm{-6.1\ \frac{rev}{s^2}}}}


b) Las vueltas que da en los 3 s las calculas a partir de la ecuación:

\color[RGB]{2,112,20}{\bm{\phi = \cancelto{0}{\phi_0} + \omega_0\cdot t + \frac{\alpha}{2}\cdot t^2}}

Sustituyes los datos y calculas:

\phi = 33.3\ \frac{rev}{\cancel{s}}\cdot 3\ \cancel{s} - \frac{6.1}{2}\ \frac{rev}{\cancel{s^2}}\cdot 3^2\ \cancel{s^2} = \fbox{\color[RGB]{192,0,0}{\bf 72.5\ rev}}}


c) Ahora solo tienes que considerar que la velocidad final es nula en la ecuación:

\cancelto{0}{\omega_f} = \omega_0 + \alpha\cdot t\ \to\ \color[RGB]{2,112,20}{\bm{t = \frac{-\omega_0}{\alpha}}}

Sustituyes y calculas:

t = \frac{-33.3\ \frac{\cancel{rev}}{\cancel{s}}}{-6.1\ \frac{\cancel{rev}}{s\cancel{^2}}} = \fbox{\color[RGB]{192,0,0}{\bf 5.16\ s}}

Palabras clave