Aceleración, velocidad y posición de un cuerpo a partir de su aceleración angular (7320)

, por F_y_Q

Un cuerpo se mueve sobre una trayectoria circular de radio 5 cm. En el instante t = 0 el cuerpo está en reposo y forma un ángulo de cero grados con el eje positivo de las x. La aceleración angular del cuerpo es:

\alpha = 3t\ (\textstyle{rad\over s^2})

Detemina:

a) El vector posición para cualquier instante de tiempo.

b) La velocidad tangencial en función del tiempo.

c) La aceleración centrípeta en función del tiempo.

d) La aceleración tangencial en función del tiempo.

e) Las aceleraciones tangencial y centrípeta en t = 2.

P.-S.

Integrando la aceleración angular puedes ir obteniendo la velocidad y la posición angular. Toda magnitud angular se relaciona con la lineal por medio del radio.

b) A partir de la definición de la aceleración angular:

\left \alpha = \dfrac{d\omega}{dt}\ \to\ d\omega = \alpha\cdot dt\ \atop \int_0^\omega d\omega = \int_0^t 3t\cdot dt\ \to\ \omega - \cancelto{0}{\omega_0} = \dfrac{3}{2}t^2\ \to\ \color[RGB]{2,112,20}{\bm{\omega = \frac{3t^2}{2}\ \textstyle{rad\over s}\right }}

La velocidad tangencial es:

v = \omega\cdot R = 1.5t^2\cdot 0.05\ m\ \to\ \fbox{\color[RGB]{192,0,0}{\bm{v = 7.5\cdot 10^{-2}\cdot t^2\ \frac{m}{s}}}}


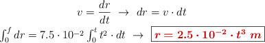
a) La posición la puedes calcular a partir de la definición de la velocidad:

\left v = \dfrac{dr}{dt}\ \to\ dr = v\cdot dt \atop \int_0^f dr = 7.5\cdot 10^{-2}\int_0^t t^2\cdot dt\ \to\ \fbox{\color[RGB]{192,0,0}{\bm{r = 2.5\cdot 10^{-2}\cdot t^3\ m}}}


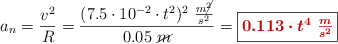
c) La aceleración centrípeta, o aceleración normal, la obtienes a partir de la siguiente ecuación:

a_n = \frac{v^2}{R} = \frac{(7.5\cdot 10^{-2}\cdot t^2)^2\ \frac{m\cancel{^2}}{s^2}}{0.05\ \cancel{m}} = \fbox{\color[RGB]{192,0,0}{\bm{0.113\cdot t^4\ \frac{m}{s^2}}}}


d) La aceleración tangencial es el producto de la aceleración angular por el radio:

a_t = \alpha\cdot R = 3t\cdot 0.05\ m\ \to\ \fbox{\color[RGB]{192,0,0}{\bm{a_t = 0.15t\ \frac{m}{s^2}}}}


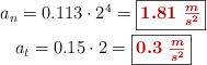
e) En las expresiones obtenidas solo tienes que sustituir el tiempo por 2 s:

\left a_n = 0.113\cdot 2^4 = \fbox{\color[RGB]{192,0,0}{\bm{1.81\ \frac{m}{s^2}}}} \atop a_t = 0.15\cdot 2 = \fbox{\color[RGB]{192,0,0}{\bm{0.3\ \frac{m}{s^2}}}}


Puedes descargar el enunciado y la resolución del problema en formato EDICO si lo necesitas.

Palabras clave