Aceleración, posición y velocidad de un cuerpo con movimiento uniformemente acelerado (6095)

, por F_y_Q

Un cuerpo que se encontraba inicialmente reposo comienza a moverse en línea recta y con aceleración constante y al cabo de 5 s adquiere una velocidad de 8 \ \textstyle{m\over s}. A partir de esta situación, calcula:

a) La aceleración del cuerpo.

b) La posición del cuerpo al cabo de 5 s.

c) La velocidad del cuerpo después de 8 s.

P.-S.

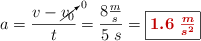
a) La aceleración es la variación de la velocidad dividida por el tiempo que transcurre en esa variación. Debes considerar que la velocidad inicial es nula:

a = \frac{v - \cancelto{0}{v_0}}{t} = \frac{8\frac{m}{s}}{5\ s} = \fbox{\color[RGB]{192,0,0}{\bm{1.6\ \frac{m}{s^2}}}}


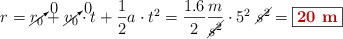
b) La posición la obtienes a partir de la ecuación del MRUA:

r = \cancelto{0}{r_0} + \cancelto{0}{v_0}\cdot t + \frac{1}{2}a\cdot t^2 = \frac{1.6}{2}\frac{m}{\cancel{s^2}}\cdot 5^2\ \cancel{s^2} = \fbox{\color[RGB]{192,0,0}{\bf 20\ m}}


c) Ahora consideras que transcurren 8 s con la misma aceleración:

v = \cancelto{0}{v_0} + a\cdot t = 1.6\frac{m}{s\cancel{^2}}\cdot 8\ \cancel{s} = \fbox{\color[RGB]{192,0,0}{\bm{12.8\ \frac{m}{s}}}}