Aceleración mínima para poder tomar el autobús (6815)

, por F_y_Q

María salió de su casa apurada porque llegaba tarde a sus prácticas. Parte del reposo y empieza a caminar con una aceleración constante de 0.01 \ \textstyle{m\over s^2} . Cuando recorrió 5 m cruzó la calle y vio detrás de ella, a 320 m de distancia, al autobús acercándose a una velocidad constante de 10\ \textstyle{m\over s} , así que decide acelerar para alcanzarlo. Si la distancia desde ese punto a la parada es de 100 m, ¿cuál tiene que ser la aceleración mínima que debe adoptar María cuando cruza la calle para poder llegar a tiempo a la parada y tomar el autobús?

P.-S.

Debes dividir el ejercicio en tres partes. En la primera parte María recorre solo 5 m y su velocidad tras esa distancia es:

v_1^2 = \cancelto{0}{v_0^2} + 2ad\ \to\ v_1= \sqrt{2\cdot 0.01\ \frac{m}{s^2}\cdot 5\ m} = \color[RGB]{0,112,192}{\bm{0.32\ \frac{m}{s}}}

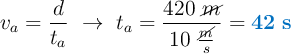
En la segunda parte debes tener en cuenta el tiempo que tarda el autobús en alcanzar la parada. Tendrá que recorrer 420 m, es decir, la suma de los 320 m que dista de María y los 100 m hasta la parada:

v_a= \frac{d}{t_a}\ \to\ t_a = \frac{420\ \cancel{m}}{10\ \frac{\cancel{m}}{s}} = \color[RGB]{0,112,192}{\bf 42\ s}

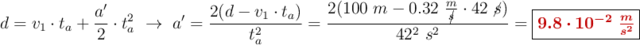
En la tercera parte consideras que María debe recorrer 100 m, con una velocidad inicial de 0.32\ \textstyle{m\over s} y 42 s como máximo. Solo tienes que despejar y calcular la aceleración:

d = v_1\cdot t_a + \frac{a^{\prime}}{2}\cdot t_a^2\ \to\ a^{\prime} = \frac{2(d - v_1\cdot t_a)}{t_a^2}= \frac{2(100\ m - 0.32\ \frac{m}{\cancel{s}}\cdot 42\ \cancel{s})}{42^2\ s^2} = \fbox{\color[RGB]{192,0,0}{\bm{9.8\cdot 10^{-2}\ \frac{m}{s^2}}}}