Aceleración en función del tiempo y la distancia recorrida 0001

, por F_y_Q

Calcula la aceleración, en unidades SI, comunicada a un móvil que circulaba a 72 km/h si después de acelerar recorrió 525 m en un cuarto de minuto.

P.-S.

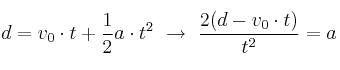
Podemos calcular la aceleración del móvil si usamos la expresión:
d = v_0\cdot t + \frac{1}{2}a\cdot t^2\ \to\ \frac{2(d - v_0\cdot t)}{t^2} = a
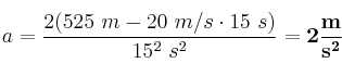
La velocidad inicial debe ser expresada en m/s, para ello dividimos el valor de la velocidad inicial por 3,6 y resulta una velocidad de 20 m/s. El tiempo hay que expresarlo en segundos, por lo que serán 15 s. Sustituimos los valores del enunciado del problema:

a =\frac{2(525\ m- 20\ m/s\cdot 15\ s)}{15^2\ s^2} = \bf 2\frac{m}{s^2}