Aceleración de una moto que toma una curva a velocidad constante (1136)

, por F_y_Q

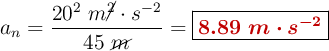
Una motocicleta se mueve en línea recta a una velocidad constante de 20 m/s cuando llega a una curva de radio 45 m. Si el piloto mantiene la velocidad constante, ¿cuál es la aceleración que experimenta la moto?

P.-S.

La aceleración que experimenta es «aceleración normal», dado que se mueve con velocidad constante. La ecuación que relaciona la velocidad y el radio con la aceleración es:

\color[RGB]{2,112,20}{\bm{a_n= \frac{v^2}{R}}}

Como conoces todos los datos solo tienes que sustituir y calcular:

a_n = \frac{20^2\ m\cancel{^2}\cdot s^{-2}}{45\ \cancel{m}} = \fbox{\color[RGB]{192,0,0}{\bm{8.89\ m\cdot s^{-2}}}}