Aceleración de un móvil 0001

, por F_y_Q

Un móvil triplica su velocidad después de recorrer 200 m, empleando 10 s. ¿Cuál es la aceleración constante que posee?

P.-S.

Si la velocidad inicial del móvil es v_0, podremos escribir la velocidad final como v = 3v_0. Ahora vamos a escribir la aceleración en función de los dos datos que nos dan:
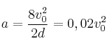
a) v^2 = v_0^2 + 2ad\ \to\ 9v_0^2 = v_0^2 + 2ad. Despejamos el valor de la aceleración y sustituimos:

a = \frac{8v_0^2}{2d} = 0,02v_0^2


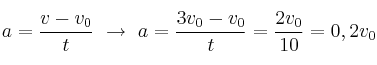
b)

a = \frac{v - v_0}{t}\ \to\ a = \frac{3v_0 - v_0}{t} = \frac{2v_0}{10} = 0,2v_0


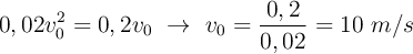
Como podemos ver, ambas expresiones son iguales a la aceleración, con lo que podemos igualarlas y despejar el valor de la velocidad inicial:

0,02v_0^2 = 0,2v_0\ \to\ v_0 = \frac{0,2}{0,02} = 10\ m/s


Volviendo a cualquiera de las expresiones anteriores para el valor de la aceleración, encontramos que el valor de ésta es: \bf a = 2\ m/s^2