Aceleración de un guepardo y distancia que necesita para acelerar hasta los 100 km/h (6745)

, por F_y_Q

El mamífero terrestre más veloz es el guepardo, pudiendo alcanzar velocidades cercanas a 120 \ \textstyle{km\over h} . Se le ha observado en pistas rectas partir del reposo y llegar a 96\ \textstyle{km\over h} en 3.0 s.

a) Para ese caso, ¿cuál fue su aceleración?

b) ¿Qué distancia requiere el animal para pasar del reposo a 100 \ \textstyle{km\over h} , si su aceleración fuese de 5.0\ \textstyle{m\over s^2} ?

P.-S.

En este problema lo más importante es tener en cuenta que las unidades no son homogéneas y es necesario hacer los cambios oportunos. Lo mejor es trabajar con unidades SI.

a) Primero realizas el cambio de unidad de velocidad:

96\ \frac{\cancel{km}}{\cancel{h}}\cdot \frac{10^3\ m}{1\ \cancel{km}}\cdot \frac{1\ \cancel{h}}{3.6\cdot 10^3\ s} = \color[RGB]{2,112,20}{\bm{26.67\ \frac{m}{s}}}

Ahora calculas la aceleración del guepardo:

a = \frac{v - \cancelto{0}{v_0}}{t} = \frac{26.67\ \frac{m}{s}}{3\ s} = \fbox{\color[RGB]{192,0,0}{\bm{8.89\ \frac{m}{s^2}}}}


b) Si repites cambio de unidades del apartado anterior:

100\ \frac{\cancel{km}}{\cancel{h}}\cdot \frac{10^3\ m}{1\ \cancel{km}}\cdot \frac{1\ \cancel{h}}{3.6\cdot 10^3\ s} = \color[RGB]{2,112,20}{\bm{27.78\ \frac{m}{s}}}

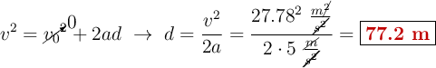
La distancia que necesita para alcanzar esta velocidad la obtienes al despejarla y sustituir en la siguiente ecuación:

v^2 = \cancelto{0}{v_0}^2 + 2ad\ \to\ d = \frac{v^2}{2a} = \frac{27.78^2\ \frac{m\cancel{^2}}{\cancel{s^2}}}{2\cdot 5\ \frac{\cancel{m}}{\cancel{s^2}}} = \fbox{\color[RGB]{192,0,0}{\bf 77.2\ m}}