Aceleración de un coche que frena, tiempo de frenada y distancia de detención (1146)

, por F_y_Q

En una autopista recta un coche tiene velocidad de 108 km/h cuando pasa por el punto A y, cuando pasa por otro punto B, distante 50 m del anterior, la velocidad es de 36 km/h. Calcular:

a) El valor de la aceleración, si se supone constante

b) El tiempo que tarda el coche en moverse entre los puntos A y B

c) La distancia a la cual se detiene el coche, medida desde A.

P.-S.

Los datos no son homogéneos en este problema. Lo más acertado es convertir las velocidades a unidades SI:

\left 108\ \frac{\cancel{km}}{\cancel{h}}\cdot \frac{10^3\ m}{1\ \cancel{km}}\cdot \frac{1\ \cancel{h}}{3\ 600\ s} = {\color[RGB]{0,112,192}{\bm{30\ \frac{m}{s}}}} \atop 36\ \frac{\cancel{km}}{\cancel{h}}\cdot \frac{10^3\ m}{1\ \cancel{km}}\cdot \frac{1\ \cancel{h}}{3\ 600\ s} = {\color[RGB]{0,112,192}{\bm{10\ \frac{m}{s}}}} \right \}

a) Si despejas la aceleración de la ecuación en la que se relaciona con las velocidades y la distancia:

v_B^2 = v_A^2 + 2ad_{AB}\ \to\ \color[RGB]{2,112,20}{\bm{a = \frac{v_B^2 - v_A^2}{2d_{AB}}}}

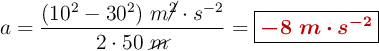
Sustituyes y calculas el valor de la aceleración:

a = \frac{(10^2 - 30^2)\ m\cancel{^2}\cdot s^{-2}}{2\cdot 50\ \cancel{m}} = \fbox{\color[RGB]{192,0,0}{\bm{-8\ m\cdot s^{-2}}}}


b) El tiempo lo obtienes a partir de la ecuación de la aceleración:

a = \frac{v_B - v_A}{t}\ \to\ \color[RGB]{2,112,20}{\bm{t = \frac{v_B - v_A}{a}}}

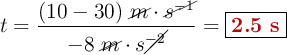
Al igual que antes, sustituyes los valores y calculas:

t = \frac{(10 - 30)\ \cancel{m}\cdot \cancel{s^{-1}}}{-8\ \cancel{m}\cdot s\cancel{^{-2}}} = \fbox{\color[RGB]{192,0,0}{\bf 2.5\ s}}


c) La distancia la puedes obtener usando la misma ecuación que usaste en el primer apartado, teniendo en cuenta que la velocidad final es cero:

a = \frac{\cancelto{0}{v_B^2} - v_A^2}{2d_F}\ \to\ \color[RGB]{2,112,20}{\bm{d_F = \frac{-v_A^2}{2a}}}

El resultado es:

d_F = \frac{-10^2\ m\cancel{^2}\cdot \cancel{s^{-2}}}{-2\cdot 8\ \cancel{m}\cdot \cancel{s^{-2}}} = \fbox{\color[RGB]{192,0,0}{\bf 56.25\ m}}