Aceleración de frenado y tiempo en frenar desde la mitad de la distancia de frenado (6653)

, por F_y_Q

Un coche que se movía a 150 km/h necesita 200 m para detenerse.

a) ¿Con qué aceleración frena?

b) ¿Cuánto tiempo ha tardado en recorrer los últimos 100 m?

P.-S.

La velocidad inicial del coche debe estar expresada en unidades SI. Lo puedes hacer dividiendo la velocidad dada por 3.6 y resulta que v_0 = 41.7\ \textstyle{m\over s}

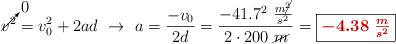
a) La aceleración de frenado la obtienes considerando que la velocidad final es cero:

\cancelto{0}{v^2} = v_0^2 + 2ad\ \to\ a = \frac{-v_0}{2d} = \frac{-41.7^2\ \frac{m\cancel{^2}}{s^2}}{2\cdot 200\ \cancel{m}} = \fbox{\color[RGB]{192,0,0}{\bm{-4.38\ \frac{m}{s^2}}}}


b) En primer lugar es necesario que calcules la velocidad que llevará el coche cuando haya frenado durante 100 m y solo le queden otros 100 m para deternerse:

v_1^2 = v_0^2 + 2ad_1\ \to\ v_1 = \sqrt{41.7^2\ \frac{m^2}{s^2} - 2\cdot 4.38\ \frac{m}{s^2}\cdot 100\ m} = \color[RGB]{0,112,192}{\bm{29.4\ \frac{m}{s}}}

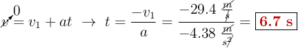
El tiempo de frenado en este último tramo de 100 m lo puedes calcular con la ecuación:

\cancelto{0}{v} = v_1 + at\ \to\ t = \frac{-v_1}{a} = \frac{-29.4\ \frac{\cancel{m}}{\cancel{s}}}{-4.38\ \frac{\cancel{m}}{s\cancel{^2}}} = \fbox{\color[RGB]{192,0,0}{\bf 6.7\ s}}