Aceleración de frenado de un tren 0001

, por F_y_Q

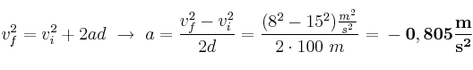
La rapidez de un tren se reduce uniformemente de 15 m/s a 8 m/s. Si se sabe que durante ese tiempo recorre 100 m, calcula la aceleración del tren.

P.-S.

No conocemos el tiempo que tarda en la desaceleración por ello vamos a usar la expresión que relaciona las velocidades con la aceleración y la distancia recorrida:

v_f^2 = v_i^2 + 2ad\ \to\ a = \frac{v_f^2 - v_i^2}{2d} = \frac{(8^2 - 15^2)\frac{m^2}{s^2}}{2\cdot 100\ m} = \bf -0,805\frac{m}{s^2}