Aceleración de frenado de un coche (3534)

, por F_y_Q

Un automóvil deportivo que lleva una rapidez de 140 km/h aplica los frenos y al cabo de 3 s su velocidad se ha reducido a 60 km/h. Calcula:

a) Su aceleración.

b) La distancia que recorrió durante los 3 s.

P.-S.

Primero, debes convertir las velocidades en unidades del SI, es decir, m/s. Lo puedes hacer dividiendo ambos valores por 3.6, que es el factor de conversión para hacer ese cambio. Se obtienen los valores de 38.89 m/s y 16.67 m/s.

a) La aceleración es:

{\color[RGB]{2,112,20}{\bm{a = \frac{\Delta v}{t}}}} = \frac{(16.67 - 38.89)\ m\cdot s^{-1}}{3\ s} = \fbox{\color[RGB]{192,0,0}{\bm{-7.41\ m\cdot s^{-2}}}}


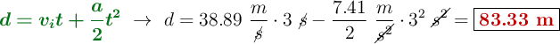
b) La distancia recorrida será:

{\color[RGB]{2,112,20}{\bm{d = v_it + \frac{a}{2}t^2}}}\ \to\ d = 38.89\ \frac{m}{\cancel{s}}\cdot 3\ \cancel{s} - \frac{7.41}{2}\ \frac{m}{\cancel{s^2}}\cdot 3^2\ \cancel{s^2} = \fbox{\color[RGB]{192,0,0}{\bf 83.33\ m}}