Aceleración centrípeta en un MCU 0001

, por F_y_Q

Una partícula se mueve, a partir del reposo, por una circunferencia de radio 10 cm, con una aceleración tangencial de módulo constante. Determina el módulo de la aceleración centrípeta de la partícula, en el instante 20 s de movimiento, si se conoce que al finalizar la quinta vuelta la rapidez es de 10 cm/s.

P.-S.

Cuando ha dado 5 vueltas, es decir, 10\pi\ rad, su velocidad es de 10 cm/s que es lo mismo que 0,1 m/s. La distancia que ha recorrido es:
d = \phi \cdot R = 10\pi\ \cdot 0,1\ m = 3,14\ m
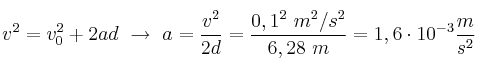
La aceleración de este movimiento es:
v^2 = v_0^2 + 2ad\ \to\ a = \frac{v^2}{2d} = \frac{0,1^2\ m^2/s^2}{6,28\ m} = 1,6\cdot 10^{-3}\frac{m}{s^2}
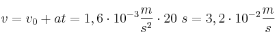
A los 20 s la velocidad de la partícula será:
v = v_0 + at = 1,6\cdot 10^{-3}\frac{m}{s^2}\cdot 20\ s = 3,2\cdot 10^{-2}\frac{m}{s}
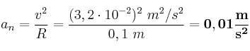
La aceleración normal se obtiene:

a_n = \frac{v^2}{R} = \frac{(3,2\cdot 10^{-2})^2\ m^2/s^2}{0,1\ m} = \bf 0,01\frac{m}{s^2}