Aceleración angular de un coche que frena (7676)

, por F_y_Q

Los neumáticos de un auto dan 65 vueltas para que la velocidad se reduzca uniformemente de 100 km/h a 50 km/h. Sabiendo que tienen un diámetro de 0.80 m:

a) ¿Cuál es la aceleración angular del auto?

b) Si el auto continúa desacelerando así, ¿cuánto tiempo más necesitará para detenerse?

P.-S.

Para lograr que el problema sea homogéneo puedes trabajar con unidades SI y para ello tienes que hacer las conversiones. Las velocidades las divides por el factor 3.6 y las obtienes en m/s, teniendo luego que calcular las velocidades angulares:

\left w_o = \frac{v_o}{R} = \frac{27.8\ \frac{\cancel{m}}{s}}{0.4\ \cancel{m}} = {\color[RGB]{0,112,192}{\bm{69.5\ \frac{rad}{s}}}} \atop  w_f = \frac{v_f}{R} = \frac{13.9\ \frac{\cancel{m}}{s}}{0.4\ \cancel{m}} = {\color[RGB]{0,112,192}{\bm{34.7\ \frac{rad}{s}}}} \right \}

Las vueltas las conviertes a radianes:

\phi = 65\ \cancel{rev}\cdot \frac{2\pi\ rad}{1\ \cancel{rev}} = \color[RGB]{0,112,192}{\bm{130\pi\ rad}}

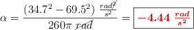
a) La aceleración angular la puedes calcular a partir de la expresión:

\omega_f^2 = \omega_o^2 + 2\alpha\cdot \phi\ \to\ \color[RGB]{2,112,20}{\bm{\alpha = \frac{\omega_f^2 - \omega_o^2}{2\phi}}}

Sustituyes y calculas la aceleración angular:

\alpha = \frac{(34.7^2 - 69.5^2)\ \frac{rad\cancel{^2}}{s^2}}{260\pi\ \cancel{rad}} = \fbox{\color[RGB]{192,0,0}{\bm{-4.44\ \frac{rad}{s^2}}}}


b) Para hacer este apartado debes considerar que la velocidad angular inicial es la que tiene el coche tras las 65 vueltas de los neumáticos y que su velocidad final será cero. La ecuación que usas es:

\omega_f = \omega_o + \alpha\cdot t\ \to\ \color[RGB]{2,112,20}{\bm{t = \frac{\omega_f - \omega_0}{\alpha}}}

El cálculo es inmediato:

t = \frac{(0 - 34.7)\ \frac{\cancel{rad}}{\cancel{s}}}{-4.44\ \frac{\cancel{rad}}{s\cancel{^2}}} = \fbox{\color[RGB]{192,0,0}{\bf 7.82\ s}}

Palabras clave