Aceleración angular de la hélice de un helicóptero cuando aterriza

, por F_y_Q

La hélice de un helicóptero está girando a razón de 960 rpm. Si después del aterrizaje la hélice se detiene al dar 64 vueltas, calcula la magnitud de la aceleración angular de la hélice.

P.-S.

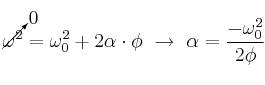
La hélice del helicóptero sigue un MCUA al aterrizar. Vamos a usar la ecuación que relaciona la velocidad angular inicial y final con el número de vueltas que da la hélice, considerando que la velocidad angular final es cero:
\cancelto{0}{\omega^2} = \omega_0^2 + 2\alpha\cdot \phi\ \to\ \alpha = \frac{-\omega_0^2}{2\phi}
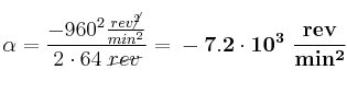
Sustituimos por los valores del enunciado:

\alpha = \frac{-960^2\frac{rev\cancel{^2}}{min^2}}{2\cdot 64\ \cancel{rev}} = \bf -7.2\cdot 10^3\ \frac{rev}{min^2}

Si queremos expresar la aceleración angular en unidades SI solo tenemos que hacer el cambio de unidad oportuno:

\alpha = -7.2\cdot 10^3\frac{\cancel{rev}}{\cancel{min^2}}\cdot \frac{2\pi\ rad}{1\ \cancel{rev}}\cdot \frac{1\ \cancel{min^2}}{3.6\cdot 10^3\ s^2} = \bf -12.56\ \frac{rad}{s^2}

Palabras clave