Construye tres posibles fórmulas desarrolladas, con las respectivas fórmulas semidesarrolladas, para la siguiente fórmula condensada:
.
Ejercicios de formulación y nomenclatura, isomerías y reacciones de compuestos orgánicos para alumnos de 1.º de Bachillerato.
Construye tres posibles fórmulas desarrolladas, con las respectivas fórmulas semidesarrolladas, para la siguiente fórmula condensada:
.
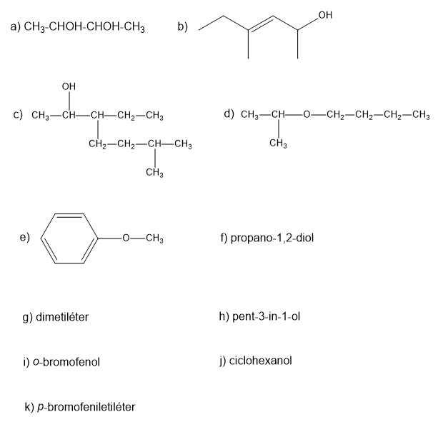
Formula o nombra los siguientes compuestos orgánicos:
Escribe las formulas estructurales para los posibles alcoholes butílicos cuya fórmula molecular es
. Clasifícalos en primarios, secundarios o terciarios.
Escribe las fórmulas semidesarrolladas de los siguientes compuestos:
a) 3-etil-4-isopropil-6,6-dimetilhept-3-eno.
b) 4-butil-5-isopropil-3,6-dimetiloct-3-eno.
c) 7-ter-butil-5-isopropil-2,4,10-trimetil-6-neopentil-5-propilundec-2-eno.
d) 3-etil-2,3-dimetilhexano.
e) 5-ter-butil-5-etil-3-isopropil-2,6-dimetiloctano.
f) 4-sec-butil-2,2,4,5,6-pentametilheptano.
g) 2,2,5-trimetilhept-3-ino.
h) 3-metilbut-1-ino.
i) 4,4-dimetilhex-2-ino.
a) ¿Cómo se debe nombrar: propan-1-ol o prop-1-ol?
b) ¿Cómo se nombra: butan-1-ol o but-1-ol?
c) ¿Cómo se nombra pentan-2-ona o pent-2-ona?
d) ¿Cómo se nombra: cis-1,2-dibromobut-1-eno o cis 1,2-dibromobut-1-eno?
e) ¿Hay que escribir la primera letra mayúscula en todos los compuestos?