Da nombre a los siguientes ésteres usando la nomenclatura IUPAC:
Ejercicios de formulación y nomenclatura, isomerías y reacciones de compuestos orgánicos para alumnos de 1.º de Bachillerato.
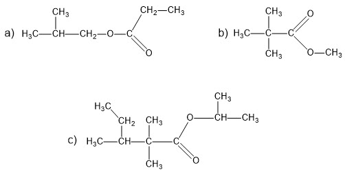
Da nombre a los siguientes ésteres usando la nomenclatura IUPAC:
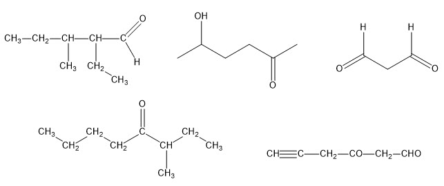
Nombra los siguientes compuestos oxigenados:
Los ésteres son los responsables del sabor y olor de las frutas. Escribe las fórmulas semidesarrolladas y estructurales de los siguientes ésteres:
a) formiato de etilo (aroma a ron).
b) etanoato de pentilo (aroma a plátano).
c) acetato de octilo (aroma a naranja).
d) butanoato de etilo (aroma a piña).
e) butirato de butilo (aroma a piña).
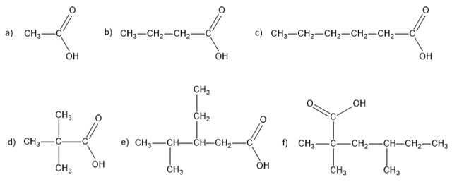
Nombra los siguientes compuestos utilizando la nomenclatura IUPAC:
Formula los siguientes compuestos orgánicos:
3-metiloctanal ; 2-metilheptan-3-ona ; 2-isopropil-5-metilciclohexanona ; 3-etil-2,3-dimetilhexanal ; 2,2-dimetilbutanal.
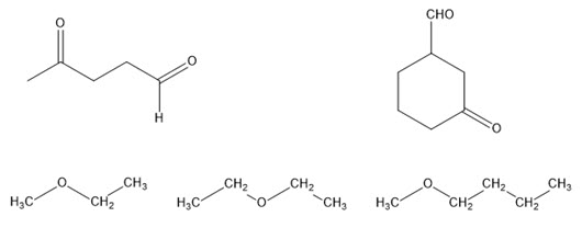
Nombra los siguientes compuestos orgánicos: