Ejercicios FyQ

  • Inicio
  • Bachillerato
  • Chemistry exercises
  • Exámenes resueltos
  • INFO
  • Otros Niveles
  • Physics exercises
  • Secundaria
  • Situaciones de aprendizaje
  • VÍDEOS
  • Portada del sitio
  • Secundaria
  • F y Q [4.º ESO]
  • Nomenclatura orgánica

Nomenclatura orgánica

Última actualización : 2 de noviembre de 2021.

Ejercicios de formulación y nomenclatura de compuestos orgánicos para alumnos de 4.º de ESO.

Artículos de esta sección

  • Ejercicio formulación orgánica (33)Leer más de«Ejercicio formulación orgánica (33)»

    5 de diciembre de 2009, por F_y_Q

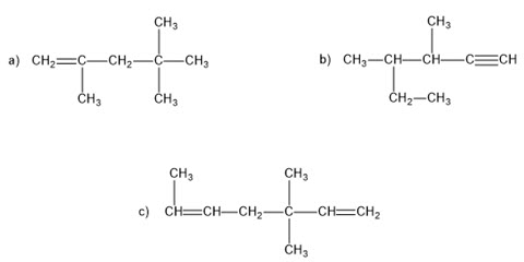
    Nombra los compuestos siguientes:

  • 0
  • 5
  • 10
  • 15
  • Secciones
  • Bachillerato
  • Chemistry exercises
  • Exámenes resueltos
  • INFO
  • Otros Niveles
  • Physics exercises
  • Secundaria
    • Bilingüismo
    • F y Q [3.º ESO]
    • F y Q [4.º ESO]
      • Átomos y enlaces (4.º ESO)
      • Cálculos químicos (4.º ESO)
      • Destrezas científicas (4.º ESO)
      • Dinámica (4.º ESO)
      • Ejercicios de repaso, refuerzo y ampliación
      • El movimiento y las fuerzas (4.º de ESO)
      • Energía y Calor
      • Energía y ondas (4.º de ESO)
      • Energía y Trabajo (4.º ESO)
      • Estática
      • La Tierra en el Universo
      • Nomenclatura inorgánica
      • Nomenclatura orgánica
      • Reacciones Químicas (4.º de ESO)
    • F y Q [2.º ESO]
  • Situaciones de aprendizaje
  • VÍDEOS

2009-2026  — Ejercicios FyQ
Mapa del sitio | Conectarse | Seguir la vida del sitio  RSS 2.0

SPIP