Nombra y formula:
c) 5-yodopentano-2,3,4-triol
d) hex-4-en-2-ino-1,4-diol
Ejercicios de formulación y nomenclatura de compuestos orgánicos para alumnos de 4.º de ESO.
Nombra y formula:
c) 5-yodopentano-2,3,4-triol
d) hex-4-en-2-ino-1,4-diol
Nombra y formula:
c) 3,4-dibromo-5-metilheptano
d) 1-cloro-4-yodopenta-1,4-dieno
Nombra y formula:
c) 5,6-dimetilhept-1-en-3-ino
d) 6-etil-3,7-dimetilnonano
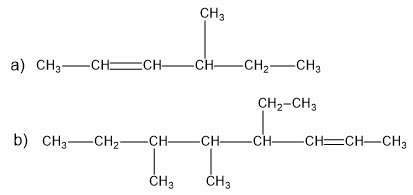
Nombra los siguientes compuestos:
Formula:
a) Dimetilpropano
b) 3-etilhexa-1,4-diino